山桂花
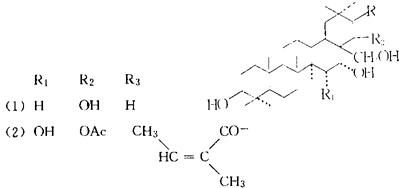
【概况】: 基源 为远志科远志属植物长毛远志的根、叶和树皮。 远志属全世界约600种,中国约40种。 原植物 长毛远志Polygala wattersiiHance 形态 灌木或小乔木.高1~4m,小枝灰白色,无毛。单叶互生,叶柄长约1.5cm,薄革质,椭圆形,椭圆状披针形至倒披针形,长5~10cm,宽1.5~2.5cm,顶端渐尖,基部楔形稍下延,全缘。总状花序单生或2~5个簇生于小枝顶端叶腋内,花序长1.5~6cm,花黄色或先端淡红色,长1.2~2cm;花萼5,2轮,外轮萼片3枚,极小,内轮萼片2,花瓣状,花后脱落;花瓣3枚,中间龙骨瓣的背面顶端有2个囊状附属物,两侧的花瓣上部以下2/3与花丝鞘贴生;雄蕊8,花丝3/4合生成鞘。 蒴果倒卵状楔形,长10~14mm。种子2,具淡棕色长柔毛,无种阜。 花期6~7月,果期8~9月。(图见《中国高等植物图鉴》,第2册.576页.图2882) 生境与分布 多生于海拔1000~1500m的山坡、山谷灌丛中。分布于湖北、湖南、广西、四川。 。【化学】: 树皮含茶皂甙元D(Theasapogeniin D)(1)和短萼海桐皂甙元(Pitrobrevigenin)(2)。  参考文献 药学通报 1986;21(1):12 【药性】: 性味 微甘、涩,温。 功效 滋补强壮,活血解毒。 主治 跌打损伤,乳痈。 用法用量 内服:煎汤,6~15g。外用:捣敷。 。【临床应用】: 单方应用 《全国中草药汇编》:“治乳腺炎:山桂花鲜根或叶适量,捣烂敷患处。” |