网站首页  词典首页


请输入您要查询的字词:

 

字词 工作原理
类别 中英文字词句释义及详细解析
释义 工作原理

按结构类型和工作原理,溢流阀可分为直动式溢流阀和先导式溢流阀。

(1)直动式溢流阀

直动式溢流阀是作用在阀芯上的主油路液压力与调压弹簧力直接相平衡的溢流阀,图14.2-1为直动式溢流阀的原理图和图形符号。

(a)球阀;(b)锥阀;(c)滑阀;(d)有阻尼孔的滑阀;(e)差动滑阀;(f)图形符号

1-阀芯;2-阀体;3-调压弹簧;4-调压手轮;5-阴尼孔

在直动式溢流阀中,当液压作用力低于调定弹簧力时,阀口关闭,阀芯在弹簧力的作用下压紧在阀座上,溢流口无液体溢出;当液压作用力超过弹簧力时,阀芯开启,液体溢流,弹簧力随著开口量的增大而增大,直至与液压作用力相平衡。

当阀芯重力、摩擦力和液动力忽略不计时,直动式溢流阀在稳态状况下的力平衡方程为:

p=K(x0+x)/A (14.2-1)

式中 p——进口压力即系统压力(Pa);

A——阀芯的有效承压面积(m2);

K——弹簧刚度(N/m);

x0——弹簧预压缩量(m);

x——阀开口量(m)。

由式(14.2-1)可以看出,只要在设计时保证x≤x0,即可使户=K(x0+x)/A≈Kx0/A=常数。这就表明,当溢流量变化时,直动式溢流阀的进口压力是近于恒定的。

(2)先导式溢流阀

先导式溢流阀是用先导阀限定压力并控制主阀溢流的溢流阀,图14.2-2为先导式溢流阀及图形符号。

1-锥阀;2-先导阀座;3-阀盖;4-阀体;5-阻尼孔;6-主阀芯;7-主阀座;8-主阀弹簧;9-调压弹簧;10-调压手轮

先导式溢流阀由先导阀和主阀组成,先导阀用于调节主阀上腔的液压力;主阀芯在其上腔液压作用力和弹簧力的共同作用下与下腔液压作用力相平衡。当导阀前腔液压作用力低于其调定弹簧力时,导阀和主阀阀口均处于关闭状态,溢流口无液体溢出。当导阀前腔液压作用力超过其调定弹簧力时,导阀开启,此时阻尼孔中有液体流动,主阀上下腔产生压力差,若此压差对主阀芯所产生的作用力小于主阀弹簧力,则主阀口仍处于关闭状态;若此压差对主阀芯所产生的作用力大于主阀弹簧力,就会使主阀开启并溢流。主阀弹簧力随其开口量的增大而增大,直至与主阀芯上的液压作用力相平衡。

当阀芯重力、摩擦力和液动力忽略不计时,导阀芯和主阀芯在稳态状况下的力平衡方程分别为

p1Ac=Kc(xco+xc)(14.2-2)

pA-p1A1=K(xv+x)(14.2-3)

式中 p——进口压力即系统压力(Pa);

p1——主阀上腔压力,即导阀前腔压力(Pa);

A1、A——主阀活塞上、下侧有效面积(m2);

Ac——导阀芯有效承压面积(m2);

Kr、K——导阀、主阀弹簧刚度(N/m);

xco、xo——导阀、主阀弹簧预压缩量(m);

xc、x——导阀、主阀开口量(m)。

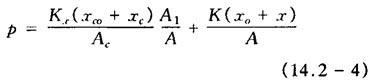
联立式(14.2-2)、(14.2-3)得

在设计时,为使主阀关闭时有足够的密封力,通常取A1略大于A。主阀的关闭靠差动液压力,主阀弹簧只用于克服主阀的摩擦力,故主阀弹簧刚度可取得很小,即K《Kx。又因导阀溢流量很小(约为溢流阀额定流量的1%左右),故导阀承压面积A和开口量xc均很小,即Ac《A,xc《xco

由式(14.2-4)和上述条件可以看出,主阀开口量变化对系统压力的影响远小于导阀开口量变化对系统压力的影响,即主阀溢流量变化对压力的影响远小于导阀溢流量变化对压力的影响;又因导阀承压面积小,使得导阀弹簧刚度不致太大,故导阀溢流量变化对系统压力的影响也不大。综上所述,当溢流量变化时,先导式溢流阀的进口压力是保持基本恒定的。

随便看

 

离鸟网收录3541549条中英文词条,其功能与新华字典、现代汉语词典、牛津高阶英汉词典等各类中英文词典类似,基本涵盖了全部常用中英文字词句的读音、释义及用法,是语言学习和写作的有利工具。

 

Copyright © 2004-2024 vtrois.com All Rights Reserved
更新时间:2026/4/7 6:23:22