左丙匹西林
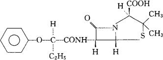
C18H22N2O5S=378.53 CAS-3736-12-7 3,3-二甲基-7-氧代-6-[(1-氧代-2-苯氧丁基)氨基]4-硫杂-1-氮杂双环并[3.2.0]庚烷-2-羧酸,-[2S-(2α,5α,6β(R*)]]-。 4-Thia-1-azabicyclo[3.2.0]heptane-2-Carboxylicacid,3,3-dimethyl-7-oxo-6-[(1-oxo-2-phenoxybutyl)amino]-[2S-[(2α,5α,6β(R*)]]-. 3,3-二甲基-7-氧代-6-(-)-2-苯氧丁酰胺基-4-硫杂-1-氮杂双环并[3.2.0]庚烷-2-羧酸。 3,3-Dimethyl-7-oxo-6-(-)-(2-phenoxybutyramido)-4-thia-1-azabicyclo[3.2.0]heptane-2-carboxylic acid. 抗生素。 Levopropicillin,Levopropylcillin. INN.  |