左丙匹西林钾
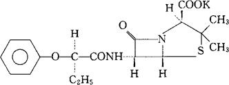
C18H21KN2O5S=416.53 CAS-4803-44-5; CAS-7245-75-2(replaced) 3,3-二甲基-7-氧代-6-[(1-氧代-2-苯氧丁基)氨基]-,4-硫杂-1-氮杂双环并[3.2.0]庚烷-2-羧酸,单钾盐[2S-[2α,5α,6β(R*)]]-。 4-Thia-1-azabicyclo[3.2.0]heptane-2-carboxylicacid,3,3-dimethyl-7-oxo-6-[(1-oxo-2-phenoxybutyl)amino]-,monopotassium sat,[2S-(2α,5α,6β(R*)]]-. 3,3-二甲基-7-氧代-6-(-)-2-苯氧丁酰胺基-4-硫杂-1-氮杂双环并[3.2.0]庚烷-2-羧酸钾。 Potassium 3,3-dimethyl-7-oxo-6-(-)-2-phenoxybutyramido-4-thia-1-azabicyclo[3.2.0]heptane-2-carboxylate. 抗生素类型。 左普匹西林钾。 Levopropicillin Potassium,Levopropylcillin Potassium,BRL-284,P-248,38389. INN(Levopropicillin),USAN(Levopropylcillin Potassium).  |