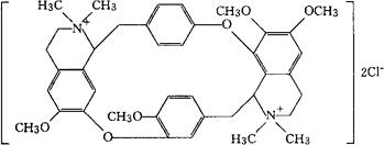
左旋氯甲箭毒[中]
C40H48Cl2N2O6=723.74 CAS-33335-58-9 氯化-O,O-二甲基-(±)-管箭毒碱。 O-O-Dimethyl-(+)-tubocurarine chloride. 骨骼肌松弛药。用于外科手术中使横纹肌松弛。 氯甲左箭毒,氯化二甲基管箭毒碱,氧二甲箭毒,左旋氯甲左箭毒。 Levocurine Methylchloridum,Laevocurine Chloride,Dimethyltubocurarinium Chloride. 左旋氯甲左箭毒注射液。 INN(Dimethyltubocurarine),DCIT,NFN,USAN.  |