网站首页  词典首页


请输入您要查询的字词:

 

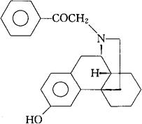
字词 左芬啡烷
类别 中英文字词句释义及详细解析
释义 左芬啡烷

C24H27NO2=361.48

CAS-10061-32-2

(-)-3-羟-N-苯甲酰甲基吗啡喃。

(-)-3-Hydroxy-N-phenacylmorphinan.

17-(2-氧代-2-苯乙基)吗啡喃-3-醇。

17-(2-Oxo-2-phenylethyl)morphinan-3-ol.

镇痛药,镇静药。

Levophenacylmorphan,Benzorphanol,NTH 7525,

Ro 4-0288/1.

INN,BAN,DCF,USAN.

随便看

 

离鸟网收录3541549条中英文词条,其功能与新华字典、现代汉语词典、牛津高阶英汉词典等各类中英文词典类似,基本涵盖了全部常用中英文字词句的读音、释义及用法,是语言学习和写作的有利工具。

 

Copyright © 2004-2024 vtrois.com All Rights Reserved
更新时间:2026/5/27 10:10:49