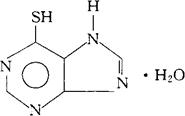
巯嘌呤[典]
C5H4N4S·H2O=170.19 CAS-6112-76-1 1,7-二氢-6H-嘌呤-6-硫酮一水化合物。 1,7-Dihydro-6H-purine-6-thione monohydrate. 6-巯基嘌呤,一水化合物。 6-Mercaptopurine,monohydzate. 抗肿瘤药。 用于急性白血病。 巯基嘌呤,硫醇嘌呤(台)。 Mercaptopurine,Purinetho l,6-MP. 巯嘌呤片(乐疾宁片)。 INN,BP,BAN,DCIT,EP,FP,GDP,IP,JP,NFN,NP,USAN,USP,USSRP,MI.  |