网站首页  词典首页


请输入您要查询的字词:

 

字词 己二酸
类别 中英文字词句释义及详细解析
释义 己二酸

又称1,4-丁烷二羧酸、肥酸、Hexane diacid。

自然界存在于酸败的甜菜中。1902年首次人工制得。从乙酸乙酯及从水、丙酮、石油英混合液中析出者为无色单斜晶系棱柱状结晶。

可燃。

有酸味。相对分子质量146.14。相对密度1.366、1.360(25℃)。熔点153℃。

沸点337.5℃、265℃(i3.332×103Pa)、240.5℃(5.333×103Pa)、222℃(2.666×103Pa)、216℃(2.000×103Pa)、205.5℃(1.333×103Pa)、191℃(0.667×103Pa)、159.5℃(0.133×103Pa)。闪点196℃(闭式)。燃点232℃。不溶于乙酸、苯;微溶于乙醚(25℃时0.6g/100g),易溶于乙醇和丙酮,溶于水(15℃时1.44、33.5℃时3.08、50℃时5.12、60℃时9.24、70℃时17.6、80℃时34.1、90℃时95、100℃时160)。

本品具有二元酸的一般通性,可以酯化,形成单酯或二酯;在加压及催化剂存在下,可以还原为己二醇;与氨、或胺反应,可以氨解,生成己二酰胺;在脱水剂存在下,酰胺脱水,可生成己二腈;加热至210℃时,可以脱水,形成不稳定的己二酸酐[2],但冷却至100℃时又恢复为线型聚酐[3];加热至300℃以上时,己二酸脱羧,生成环戊酮

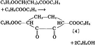
与亚硫酰氯作用,可生成己二酸酰氯;与己二胺反应,可以生成尼龙66盐(己二酰己二酸盐);与二元醇反应可生成聚酯,进一步与双异氰酸酯反应,可制造橡胶;本品的二乙酯与草酸二乙酯在醇钠的存在下反应,可以生成2,3-二氧环己烷-1,4-二羧二乙酯[4]。

本品化学性稳定,低毒,大鼠经口LD505050mg/kg。

用途:本品为重要的精细化工、有机合成及高分子材料的原料;与多支链的醇反应生成的酯,是优良的润滑油,例如己二酸的二辛酯、二癸酯、2-乙基己酯、2-乙基丁酯和2-丁基辛酯;此外,本品还是制造尼龙(与二元胺缩聚可制得聚酰胺)、聚氨酯泡沫塑料、增塑剂、杀虫剂、粘合剂等的原料;用作有机合成中二元腈、二元胺的先导物;合成医药、合成香料的原料。因本品水溶液是常用酸味剂中酸度最低者,在很大的浓度范围内,pH值变化很小,所以广泛用作食品的缓冲剂、中和剂、酸味剂、pH调节剂、增香剂,用作缓冲剂时,可有效地使酸度保持在2.5~3.0范围内,是我国GB2760-1996规定允许使用的食用酸度调节剂;此外,还可有效地抑制大多数水果的褐变;用于含明胶的粉末食品、蛋清及乳制品时,可改变打擦起泡性能;改进干酪和干酪涂抹食品的熔化特性;促进人造果酱、仿制果冻的胶凝作用;乳化食用香精、水果香味硬糖;在酸化热装罐头食品中用作酸味剂,使酸味柔和,使风味持久;与植酸配合,可防止油脂劣化,并起多价螯合作用,改善油脂质量;用于饮料、配酒、干酪加工、冷饮、泡菜;用于烘烤食品时,可代替酒石酸;因吸湿性低,可用于固体粉末果汁。

制法:
❶ 二步法:在钴催化剂(或硼酸及硼酸酐)存在下,用空气氧化环己烷,得到环己酮和环己醇的混合物,不经分离,在铜钒催化剂存在下,在亚硝酸的作用下被氧化,生成邻亚硝基环己酮,再由硝酸(60%)氧化,生成2-硝基-2-亚硝基环己酮,水解,开环,生成6-肟基-6-硝基己酸,分解后,可得粗制[1],分离后,再进行脱色及重结晶精制。此法为串联二级反应器。

每吨产品消耗环己烷1200kg、硝酸1600kg、收率95%左右,一步法已研制成功(见❹ )。

❷ 由糠醛脱羰成呋喃,加氢后成为四氢呋喃.再在高温高压下与一氧化碳反应可制得[1]。

❸ 由己二胺水解。

❹ -步法:以环己烷为原料,以乙酸为溶剂,环己酮为引发剂.乙酸钴为催化剂,在压力为2.0~2.5MPa、温度为90~95℃下,用空气氧化环己烷,未反应的环己烷及催化剂分离回收,产物冷却结晶,分离后,得到粗制[1],粗制[1]经活性炭脱色、重结晶可制得精制品[1]。

此法每吨产品消耗环己烷1233kg、乙酸453kg、环己酮120kg、乙酸钴5.73kg、活性炭26kg。

❺ 在碱性(或酸性)溶液中,用空气氧化环己酮。

❻ 以苯酚为原料,高温(140℃)高压(0.2~1.8MPa)催化加氢,生成环己醇,经硝酸氧化,可制得[1]。

❼ 丁二酸单酯单钾盐电解偶联,可制得己二酸二乙酯,再在碱溶液中经水解,可制得粗制[1],分离后,重结晶精制。

❽ 以1,3-丁二烯和丙烯腈为原料进行反应,生成1,2,5,6-四氢苯腈,用60%氢氧化钾在320℃下加压熔融,可制得[1]。

❾ 以乙炔和乙酸为原料,以乙酸汞为催化剂,在过氧化叔丁基存在下,可制得[1]。

❿ 以1,4-丁二醇为原料,与合成气(一氧化碳及氢)进行羰基化反应,可制得[1]。

⑾以环己烯为原料,以过氧硫酸氢钾为催化剂,可制得[1]。

⑿以α-羟基环己酮为原料,在杂多酸(H5PMo10V2O40)催化作用下,在101℃下回流,可制得[1]。

⒀以环己烯为原料,在1,2-二氯乙烷中,以杂多酸为催化剂,用过氧化氢氧化,可制得[1]。

随便看

 

离鸟网收录3541549条中英文词条,其功能与新华字典、现代汉语词典、牛津高阶英汉词典等各类中英文词典类似,基本涵盖了全部常用中英文字词句的读音、释义及用法,是语言学习和写作的有利工具。

 

Copyright © 2004-2024 vtrois.com All Rights Reserved
更新时间:2026/5/25 12:13:14