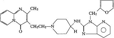
巴马斯汀
C27H29N7O2=483.57 CAS-99156-66-8 3-[2-[4-[(3-糠基-3H-咪唑并[4,5-b]吡啶-2-基)氨基]哌啶基]乙基]-2-甲基-4H-吡啶并[1,2-α]嘧啶-4-酮。 3-[2-[4-[(3-Furfury1-3H-imidazo[4,5-b]pyridin-2-yl)amino]piperidino]ethyl]-2-methyl-4H-pyrido[1,2-a]pyrmidin-4-one. 抗组胺药。 巴尔马酮。 Barmastine,R57959. INN,USAN.  |