市场区分界点理论
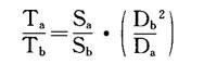
20世纪20年代和30年代,空间相互作用引力模型被广泛应用于贸易区研究。 美国经济学家赖利(W.reilly)于1929年对得克萨斯州225个村镇的零售贸易区做了研究,得到所谓“零售引力法则”,即:商店的营业量同其本身的规模成正比,而同二者距离的平方成反比,即:  式中:T为营业量,S为商店规模,D为二者合理分界点距离(见图)。  图中A、B为相邻两商店或代表两个市场中心,具有不同规模,二者销售区分界点必在二者联线上。而且在分界点处,两商店(或两中心)具有相等的营业量,即在O点,Ta=Tb。 于是从上式可推导出:  式中:Da为A点至分界点的距离,Dab为A、B两中心的距离。 后来,康维斯(P.D.Converse)对此模式作了进一步发展,以两城镇的人口规模代替两个市场的规模,形成所谓断裂点模式,即:  式中:Pa、Pb分别为城镇A和城镇B的人口规模。 |