网站首页  词典首页


请输入您要查询的字词:

 

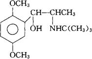
字词 布他沙明
类别 中英文字词句释义及详细解析
释义 布他沙明

C15H25NO3=267.37

CAS-2922-20-5

(±)-(R*S*)-α-[1-[(1,1-二甲基乙基)氨基]乙基]-2,5-二甲氧基苯甲醇。

(±)-(R*,S*)-α-[1-[(1,1-Dimethylethyl)amino]ethyl]-2,5-dimethoxybenazenemethanol.

α-[1-(叔-丁基氨基)乙基]-2,5-二甲氧基苄醇。

α-[1-(tert-Butylamino)ethyl]-2,5-dimethoxybenzylalcohol.

降血糖药,降血脂药。

丁氧胺,布陶克赛明。

Butaxamine.

INN.

随便看

 

离鸟网收录3541549条中英文词条,其功能与新华字典、现代汉语词典、牛津高阶英汉词典等各类中英文词典类似,基本涵盖了全部常用中英文字词句的读音、释义及用法,是语言学习和写作的有利工具。

 

Copyright © 2004-2024 vtrois.com All Rights Reserved
更新时间:2026/4/9 12:06:03