网站首页  词典首页


请输入您要查询的字词:

 

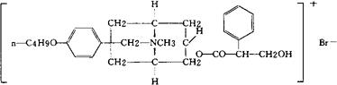
字词 布托溴铵
类别 中英文字词句释义及详细解析
释义 布托溴铵

C28H38BrNO4=532.52

CAS-29025-14-7

8-(对-丁氧基苄基)-3α-羟基-1αH,5αH-托烷鎓溴化物(-)-托品酸酯。

8-(p-Butoxybenzyl)-3α-hydroxy-1aH,5αH-tropanium bromide(-)-tropate.

解痉药。

Butropium Bromide.

INN,USAN.

随便看

 

离鸟网收录3541549条中英文词条,其功能与新华字典、现代汉语词典、牛津高阶英汉词典等各类中英文词典类似,基本涵盖了全部常用中英文字词句的读音、释义及用法,是语言学习和写作的有利工具。

 

Copyright © 2004-2024 vtrois.com All Rights Reserved
更新时间:2026/4/7 16:42:03