网站首页  词典首页


请输入您要查询的字词:

 

字词 布托苯定
类别 中英文字词句释义及详细解析
释义 布托苯定

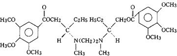
C32H48N2O10=620.74

CAS-55769-65-8

(+)-(S,S)-乙烯双[(甲基亚氨基)(2-乙基乙烯基)]双(3,4,-5-三甲氧基苯甲酸酯。

(+)-(S,S)-Ethylenebis[(methylimino)(2-ethylethy[ene)]bis(3,4,5-trimethoxybenzoate).

冠脉扩张药。

Butobendine.

INN,USAN,MI.

随便看

 

离鸟网收录3541549条中英文词条,其功能与新华字典、现代汉语词典、牛津高阶英汉词典等各类中英文词典类似,基本涵盖了全部常用中英文字词句的读音、释义及用法,是语言学习和写作的有利工具。

 

Copyright © 2004-2024 vtrois.com All Rights Reserved
更新时间:2026/5/26 2:32:16