网站首页  词典首页


请输入您要查询的字词:

 

字词 布替利嗪
类别 中英文字词句释义及详细解析
释义 布替利嗪

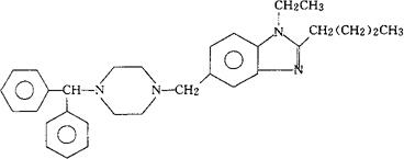
C31H38N4=466.67

CAS-68741-18-4

2-丁基-5-[[4-(二苯甲基)-1-哌嗪基]甲基]-1-乙基-1H-苯并咪唑。

2-Butyl-5-[[4-(diphenylmethyl)-1-piperazinyl]methyl]-1-ethyl-1H-benzimidazole.

2-丁基-5-[[4-(二苯基甲基)-1-哌嗪基]甲基]-1-乙基苯并咪唑。

2-Butyl-5-[[4-(diphenylmethyl)-1-piperazinyl]methyl]-1-ethylbenzimidazole.

血管扩张药。

Buterizine,R 38,198.

INN,USAN.

随便看

 

离鸟网收录3541549条中英文词条,其功能与新华字典、现代汉语词典、牛津高阶英汉词典等各类中英文词典类似,基本涵盖了全部常用中英文字词句的读音、释义及用法,是语言学习和写作的有利工具。

 

Copyright © 2004-2024 vtrois.com All Rights Reserved
更新时间:2026/5/25 23:01:01