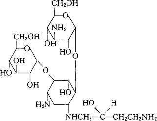
布替卡星
C22H45N5O12=571.62 CAS-59733-86-7 O-3-氨基-3-脱氧-α-D-吡喃葡糖基-(1-→6)-O-[6-氨基-6-脱氧-α-D-吡喃葡糖基-(1-→4)]-N1-[(S)-4-氨基-2-羟丁基]-2-脱氧-D-链霉胺。 O-3-Amino-3-deoxy-α-D-glucopyranosyl-(1→6)-O[6-amino-6-deoxy-α-D-glucopyranosyl-(1→4)]-N1-[(S)-4-amino-2-hydroxybutyl]-2-deoxy-D-strep-tamine. 抗生素类药。 Butikacin,UK-18,892. INN,BAN,USAN.  |