网站首页  词典首页


请输入您要查询的字词:

 

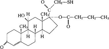
字词 布替可特
类别 中英文字词句释义及详细解析
释义 布替可特

C25H36O5S=448.62

CAS-120815-74-9

11β,17-二羟基-21-巯基孕甾-4-烯-3,20-二酮17-丁酸盐。

11β,17-Dihydroxy-21-mercaptopregn-4-ene-3,20-dione 17-butyrate.

肾上腺皮质激素类药。

Butixocort.

INN,USAN.

随便看

 

离鸟网收录3541549条中英文词条,其功能与新华字典、现代汉语词典、牛津高阶英汉词典等各类中英文词典类似,基本涵盖了全部常用中英文字词句的读音、释义及用法,是语言学习和写作的有利工具。

 

Copyright © 2004-2024 vtrois.com All Rights Reserved
更新时间:2026/4/7 15:25:08