网站首页  词典首页


请输入您要查询的字词:

 

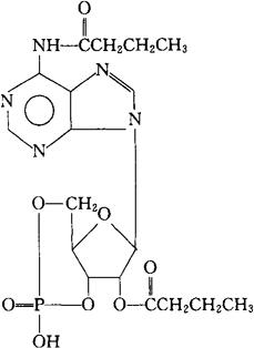
字词 布环磷腺苷
类别 中英文字词句释义及详细解析
释义 布环磷腺苷

C18H24N5O8P=469.39

CAS-362-74-3

9-β-D-呋喃核糖基-6-丁酰胺基嘌呤3′,5′-(环磷酸氢)-2′-丁酸酯。

9-β-D-Ribofuranosyl-6-butyrylamidopurine cyclic 3′,5′-(hydrogen phosphate)-2′-butyrate.

心脏刺激药。

布拉地辛,布克拉腺苷。

Bucladesine,Actosin.

INN,JAN,USAN.

随便看

 

离鸟网收录3541549条中英文词条,其功能与新华字典、现代汉语词典、牛津高阶英汉词典等各类中英文词典类似,基本涵盖了全部常用中英文字词句的读音、释义及用法,是语言学习和写作的有利工具。

 

Copyright © 2004-2024 vtrois.com All Rights Reserved
更新时间:2026/5/31 18:22:44