网站首页  词典首页


请输入您要查询的字词:

 

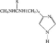
字词 布立马胺
类别 中英文字词句释义及详细解析
释义 布立马胺

C9H16N4S=212.31

CAS-34970-69-9

N-[4-(1H-咪唑-4-基)丁基]-N′-甲基硫脲。

N-[4-(1H-Imidazol-4-yl)butyl]-N′-methyl hiourea.

抗组胺药,组胺H2-受体阻滞药。

丁咪胺,咪丁硫脲。

Burimamide,SKF-91923.

随便看

 

离鸟网收录3541549条中英文词条,其功能与新华字典、现代汉语词典、牛津高阶英汉词典等各类中英文词典类似,基本涵盖了全部常用中英文字词句的读音、释义及用法,是语言学习和写作的有利工具。

 

Copyright © 2004-2024 vtrois.com All Rights Reserved
更新时间:2026/5/25 15:59:24