网站首页  词典首页


请输入您要查询的字词:

 

字词 希尼达明
类别 中英文字词句释义及详细解析
释义 希尼达明

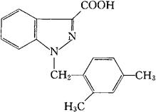
C17H16N2O2=280.33

CAS-50264-78-3

1-(2,4-二甲基苄基)-1H-吲唑-3-羧酸。

1-(2,4-Dimethylbenzyl)-1H-indazole-3-carboxylic acid.

抗精子生成药,生育调节药。

Xinidamine.

INN,USAN.

随便看

 

离鸟网收录3541549条中英文词条,其功能与新华字典、现代汉语词典、牛津高阶英汉词典等各类中英文词典类似,基本涵盖了全部常用中英文字词句的读音、释义及用法,是语言学习和写作的有利工具。

 

Copyright © 2004-2024 vtrois.com All Rights Reserved
更新时间:2026/4/9 6:25:09