网站首页  词典首页


请输入您要查询的字词:

 

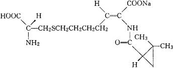
字词 希拉司丁钠[中]
类别 中英文字词句释义及详细解析
释义 希拉司丁钠[中]

C16H25N2NaO5S=380.43

CAS-81129-83-1

CAS-2009-345(cilastatin)

(Z)-7-[[(R)-2-氨基-2-羧乙基]硫代]-2-[(S)-2,2-二甲基环丙烷甲酰胺基]-2-庚酸钠。

Sodium(Z)-7[[(R)-2-amino-2-carboxyethyl]thio]-2-[(S)-2,2-dimethylcyclopropanecarboxamido]-2-heptenoate.

酶抑制药。

Cilastatin Sodium,Sodium Cilastatin.

INN & BAN(Cilastatin),USAN.

随便看

 

离鸟网收录3541549条中英文词条,其功能与新华字典、现代汉语词典、牛津高阶英汉词典等各类中英文词典类似,基本涵盖了全部常用中英文字词句的读音、释义及用法,是语言学习和写作的有利工具。

 

Copyright © 2004-2024 vtrois.com All Rights Reserved
更新时间:2026/4/9 18:02:22