网站首页  词典首页


请输入您要查询的字词:

 

字词 希洛班
类别 中英文字词句释义及详细解析
释义 希洛班

C14H19N3O=245.32

CAS-50528-97-7

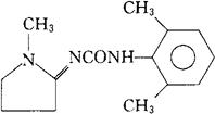
N-(2,6-二甲基苯基)-N′-(1-甲基-2-亚吡咯烷基-脲。

Urea,N-(2,6-dimethylphenyl)-N′-(1-methyl-2-Pyrolidinylidene)-.

1-(1-甲基-2-亚吡咯烷基)-3-(2,6-二甲苯基)脲。

1-(1-Methyl-2-pyrrolidinylidene)-3-(2,6-xylyl)urea.

肌肉松弛药。

Xilobam,McN-3113.

INN,USAN.

随便看

 

离鸟网收录3541549条中英文词条,其功能与新华字典、现代汉语词典、牛津高阶英汉词典等各类中英文词典类似,基本涵盖了全部常用中英文字词句的读音、释义及用法,是语言学习和写作的有利工具。

 

Copyright © 2004-2024 vtrois.com All Rights Reserved
更新时间:2026/4/9 0:45:59