希苯洛尔
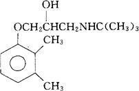
C15H25NO2=251.37 CAS-81584-06-7 (±)-1-(叔-丁氨基)-3-(2,3-二甲苯氧)-2-丙醇。 (±)-1-(tert-Butylamino)-3-(2,3-xylyloxy)-2-propanol. 1-[(1,1-二甲基乙基)氨基]-3-(2,3-二甲基苯氧)-2-丙醇。 1-[(1,1-Dimethylethyl)amino]-3-(2,3-dimethylphenoxy)-2-propanol. β-受体阻滞药,抗高血压药。 Xibenolol,Rhythminal,D 32. INN,USAN,MI. 
|