网站首页  词典首页


请输入您要查询的字词:

 

字词 帕奴拉明
类别 中英文字词句释义及详细解析
释义 帕奴拉明

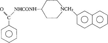
C24H25N3O2=387.48

CAS-80349-58-2

1-苯甲酰-3-[1-(2-萘甲基)-4-哌啶基]脲。

1-Benzoyl-3-[1-(2-naphthylmethyl)-4-piperidyl]urea.

N-[[[1-(2-萘甲基)-4-哌啶基]氨基]羰基]-苯甲酰胺。

N-[[[1-(2-Naphthalenylmethyl)-4-piperidinyl]amino]carbonyl]benzamide.

抗抑郁药,精神兴奋药。

萘哌拉明。

Panurmine.

INN,BAN,USAN

随便看

 

离鸟网收录3541549条中英文词条,其功能与新华字典、现代汉语词典、牛津高阶英汉词典等各类中英文词典类似,基本涵盖了全部常用中英文字词句的读音、释义及用法,是语言学习和写作的有利工具。

 

Copyright © 2004-2024 vtrois.com All Rights Reserved
更新时间:2026/4/5 16:00:56