网站首页  词典首页


请输入您要查询的字词:

 

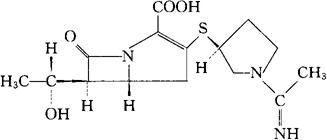
字词 帕尼培南
类别 中英文字词句释义及详细解析
释义 帕尼培南

C15H21N3O4S=339.41

CAS-87726-17-8

(+)-(5R,6S)-3-[[(S)-1-亚氨代乙酰-3-吡咯烷基]硫代]-6-[(R)-1-羟乙基]-7-氧代-1-氮杂双环[3.2.0]庚-2-烯-2-羧酸。

(+)-(5R,6S)-3-[[(S)-1-Acetimidoyl-3-pyrrolidinyl]thio]-6-[(R)-1-hydroxyethyl]-7-oxo-1-azabicyclo[3.2.0]hept-2-ene-2-carboxylic acid.

抗生素类药。

Panipenem.

INN,USAN.

随便看

 

离鸟网收录3541549条中英文词条,其功能与新华字典、现代汉语词典、牛津高阶英汉词典等各类中英文词典类似,基本涵盖了全部常用中英文字词句的读音、释义及用法,是语言学习和写作的有利工具。

 

Copyright © 2004-2024 vtrois.com All Rights Reserved
更新时间:2026/4/9 3:42:29