网站首页  词典首页


请输入您要查询的字词:

 

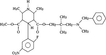
字词 帕洛地平
类别 中英文字词句释义及详细解析
释义 帕洛地平

C29H34FN3O6=539.60

CAS-96515-73-0

(±)-4-(2-氟-5-硝苯基)-1,4-二氢-2,6-二甲基-3,5-吡啶二羧酸3-(苄甲氨基)-2,2-二甲丙酯。

(±)-3-(Benzylmethylamino)-2,2-dimethylpropyl4-(2-fluoro-5-nitrophenyl)-1,4-dihydro-2,6-dimethyl-3,5-pyridinedicarboxylate.

血管扩张药。

Palonidipine.

INN,USAN.

随便看

 

离鸟网收录3541549条中英文词条,其功能与新华字典、现代汉语词典、牛津高阶英汉词典等各类中英文词典类似,基本涵盖了全部常用中英文字词句的读音、释义及用法,是语言学习和写作的有利工具。

 

Copyright © 2004-2024 vtrois.com All Rights Reserved
更新时间:2026/4/5 18:12:49