帕马溴
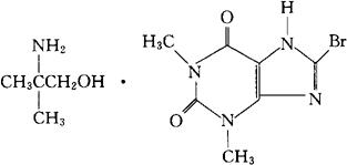
C11H18BrN5O3=-348.20 CAS-606-04-2 8-溴-3,7-二氢-1,3-二甲基-1H-嘌呤-2,6-二酮与2-氨基-2-甲基-1-丙醇的化合物(1∶1)。 8-Bromo-3,7-dihydro-1,3-dimethyl-1H-purine-2,6-dione compound with 2-amino-2-methyl-1-propanol(1∶1). 8-溴茶碱与2-氨基-2-甲基-1-丙醇(1∶1)的化合物。 8-Bromotheophylline compound with 2-amino-2-methyl-1-propanol(1∶1). 利尿药。 巴马溴,泊马博朗。 Pamabrome,Donasil. USAN.  |