网站首页  词典首页


请输入您要查询的字词:

 

字词 常咯啉[中]
类别 中英文字词句释义及详细解析
释义 常咯啉[中]

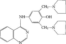
C24H29N5O=403.53

4-[(4-喹唑啉基)氨基]-2,6-双-[(1-吡咯烷基)甲基]苯酚。

4-[4-(Quinazolinyl)amino]-2,6-bis-[(1-pyrrolidinyl)methyl]phenol.

抗心律失常药。用于阵发性室性心动过速、频繁室性早博、室性上心动过速、短阵心房颤动等。

Pyrozolin,Pyrrozoline.

常咯啉片。

随便看

 

离鸟网收录3541549条中英文词条,其功能与新华字典、现代汉语词典、牛津高阶英汉词典等各类中英文词典类似,基本涵盖了全部常用中英文字词句的读音、释义及用法,是语言学习和写作的有利工具。

 

Copyright © 2004-2024 vtrois.com All Rights Reserved
更新时间:2026/4/9 9:04:33