干净态
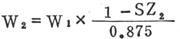
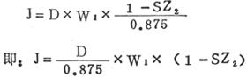
棉花的净重与将含水率标准定为零时的准重系数相乘,即得棉花的“干净态”。 这是棉花的重量检验中在发展与探讨的一重量概念。其不但涉及到水分与杂质检验方面,而且也与棉纤维的内部结构和有关性能有关。 由于在计算某一批棉花的准重(指标准重量)时,其主要变量是实际水杂和(即SZ2),即:  式中,W2为标准重量,W1为净重,SZ2为实际水杂和,0.875为1减去标准水杂和所得一常数。 因棉花的货物金额等于棉花单价与棉花标准重量之乘积,故货物金额则可等于下式:  在上式计算中,其主要变量为1-SZ2(或称为干净重系数)。 这一干净重系数实际上为将含水率标准定为零时的准重系数,如果将棉花的净重与这一准重系数相乘,即:W1×(1-SZ2)结果为干净重,这一重量的性质即为干净态。 |