网站首页  词典首页


请输入您要查询的字词:

 

字词 干燥指数
类别 中英文字词句释义及详细解析
释义 干燥指数

又称干燥度。

表示一地某时段内干燥程度的气候指标。用可能蒸发量对降水量的比值E

/r表示。由于地区的蒸发资料不易获得,通常采用间接方法求算可能蒸发量。

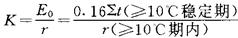
因此,干燥指数的计算公式有多种,中国气候学家张宝堃等根据中国情况提出的计算公式为:

式中K为干燥指数;E0为可能蒸发量;∑t为日平均气温大于1o℃期间的活动积温,0.16∑t用以代替E0值,r为同期降水量。

该干燥指数分级标准见下表:

干燥指数分级

随便看

 

离鸟网收录3541549条中英文词条,其功能与新华字典、现代汉语词典、牛津高阶英汉词典等各类中英文词典类似,基本涵盖了全部常用中英文字词句的读音、释义及用法,是语言学习和写作的有利工具。

 

Copyright © 2004-2024 vtrois.com All Rights Reserved
更新时间:2026/4/9 15:49:04