平均人口数
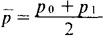
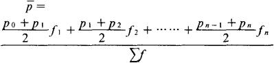
一定时期内,各个时点的人口的平均数。 它代表计算期内任一时点的人口数,反映计算期(如月、季、年或若干年)内人口发展的平均规模。 平均人口数是计算出生率、死亡率、自然增长率和平均每人国民收入、平均每人产值和产量等指标的基础数据。 实际工作中计算平均人口数,一般是根据已掌握的时点数字计算平均人口数的近似值。 根据掌握的资料和计算的要求不同,可采用以下几种不同方法计算平均人口数: 1.在只掌握期初、期末人口数时,可按简单算术平均数方法计算。  即: 在实际工作中,也可用期中人口数代替期内平均人口数。 2.在已知某时期内若干时点的人口数时,可用序时平均数计算平均人口数。  式中: 为平均人口数; P1P2P3…Pn为各时点的人口数; n为时间间隔数。 上式为各时点间隔时间相等的计算方法,如各时点间隔时间不等,需用间隔时间加权计算。 即:  式中f1f2…fn为间隔时间权数。 3.在计算时间较长,该时期人口数又是按一定比例递增(减)时,可用几何级数计算。 (1)将各年人口数相乘、然后以年数为次数进行开方。  (2)用期末人口数减期初人口数作分子,用期末人口数的自然对数与期初人口数的自然对数之差作分母,相除后得平均人口数。 即:  换成常用对数式: 
|