平均余命
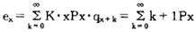
亦称“生命期望”。余命的平均值。即从某一年龄开始至死亡为止的平均生存年期。通常将x岁的人的平均余命以ex表示。平均余命是在假设生命时间函数分布为离散型分布的条件下计算得出的,在精算数学上,ex表示为:  零岁人的平均余命即为通常意义上的平均寿命或人均寿命。但值得注意的是,某年龄的平均余命不能简单地由平均寿命减去该年龄得出。例如,某地区人均寿命即零岁的平均余命为80.2岁,60岁的人的平均余命为28.4岁,而不是80.2-60=20.2岁。由此可见,平均余命与平均寿命是两个完全不同的概念。一般报纸上公布的都是平均寿命而非平均余命。 |