平均发展速度
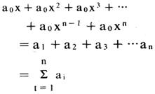
各环比发展速度的平均数。 是序时平均数的一种,说明某一社会经济现象,在一定发展阶段内各期发展速度的一般水平。平均发展速度的计算方法有两种:(1)水平法。又称几何平均法,是各期环比发展速度(x1,x2,…xn)连乘积的n次方根。公式为:  式中 为平均发展速度,n为项数。 如果所掌握的资料是各年发展水平(a0,a1,a2,…an),而非各年环比发展速度,则公式为:  式中:a0为最初水平,an为最末水平。此方法只涉及最末水平与最初水平,中间各期发展水平的变化未予考虑。 因而,对于侧重考察最末一年所达水平的社会现象,则适于采用。(2)高次方程法,又称累计法。 此方法的出发点为:计算平均发展速度,应该使据以计算的各期发展水平之和,等于各期实际水平(a1,a2,a3…an)之和。 设x为平均发展速度,则:  化简得:  此方法计算的平均发展速度,利用了各时期的资料,其大小和方向取决于各时期水平之和与最初水平之比。因而,适用于侧重考察全期发展水平总和的社会现象,两种方法的出发点和结果均不同,实践中应根据研究对象的特点,予以选择确定。 |