网站首页  词典首页


请输入您要查询的字词:

 

字词 平均头数
类别 中英文字词句释义及详细解析
释义 平均头数

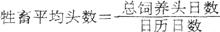
指牲畜总饲养头日数除以日历日数之商。

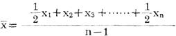
反映牲畜头数在时间上的平均水平。计算公式为:

用上式计算的牲畜平均头数是比较精确的。

在缺少饲养头日数只有时点头数时,可按下列序时平均数公式计算:

牲畜平均头数不仅能反映牲畜头数的平均水平,同时也是研究畜群生产水平的重要指标。

随便看

 

离鸟网收录3541549条中英文词条,其功能与新华字典、现代汉语词典、牛津高阶英汉词典等各类中英文词典类似,基本涵盖了全部常用中英文字词句的读音、释义及用法,是语言学习和写作的有利工具。

 

Copyright © 2004-2024 vtrois.com All Rights Reserved
更新时间:2026/4/9 5:26:19