网站首页  词典首页


请输入您要查询的字词:

 

字词 平均差
类别 中英文字词句释义及详细解析
释义 平均差

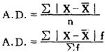
各个标志值对其算术平均数的平均离差。它是测定标志变动度的一个指标,能把总体各单位标志值的变异都综合起来。平均差愈大,标志变异程度愈大;平均差愈小,标志变异程度愈小。平均差计算上可分为简单平均式与加权平均式两种。公式如下:

式中,A.D.代表平均差;∑为加总符号;X代表各个标志值;代表算术平均数;f为每个变量值的次数;∑f为总次数;n代表总体单位数(项数)。

随便看

 

离鸟网收录3541549条中英文词条,其功能与新华字典、现代汉语词典、牛津高阶英汉词典等各类中英文词典类似,基本涵盖了全部常用中英文字词句的读音、释义及用法,是语言学习和写作的有利工具。

 

Copyright © 2004-2024 vtrois.com All Rights Reserved
更新时间:2026/4/5 19:00:38