网站首页  词典首页


请输入您要查询的字词:

 

字词 平均差
类别 中英文字词句释义及详细解析
释义 平均差

各个变量值对其算术平均数的平均离差。

由于离差总和恒等于零,所以计算平均差时,采用离差的绝对值。平均差越大,说明各标志值与平均数的离差越大;反之,平均差越小,说明各标志值的变动度越小,平均数的代表性越强。

计算平均差的公式,分为简单平均式和加权平均式两种。

1.简单平均式。

式中,A、D、代表平均差(其余符号的意义见平均指标条)。

例如,有两组工人,他们的月工资额如下:

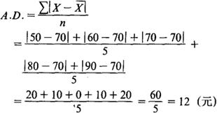
甲组:50,60,70,80,90

乙组:60,65,70,75,80

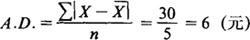
甲组的平均差是:

用同样的方法得乙组的平均差为:

这就是说,在甲乙两组工人平均工资相等(均为70元)的情况下,甲组的平均差(12元)大于乙组平均差(6元)。

由此表明,甲组平均数的代表性不如乙组。

2.加权平均式。

在资料经过分组,形成分配数列时,应采取加权平均式。其公式为:

假设某企业200个职工的工资资料如下:

计算表明,该企业职工的月平均工资额为68元,与各个人的月工资额平均相差9.4元。

随便看

 

离鸟网收录3541549条中英文词条,其功能与新华字典、现代汉语词典、牛津高阶英汉词典等各类中英文词典类似,基本涵盖了全部常用中英文字词句的读音、释义及用法,是语言学习和写作的有利工具。

 

Copyright © 2004-2024 vtrois.com All Rights Reserved
更新时间:2026/4/8 18:29:41