网站首页  词典首页


请输入您要查询的字词:

 

字词 平均数指数
类别 中英文字词句释义及详细解析
释义 平均数指数

用个体指数加权平均计算得出的指数。在实际统计工作中,由于计算资料的限制,一般不能直接编制综合指数,而经常计算平均数指数。平均数指数分为算术平均数指数及调和平均数指数。

算术平均数指数是按加权算术平均数法计算的指数。例如,编制物量总指数时,掌握了个体物量指数和基期的产值资料,就可用算术平均数指数形式计算。计算公式:

式中,p0为基期产品价格,q0为基期产品产量,q1为报告期产品产量。

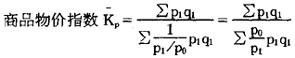
调和平均数指数是按加权调和平均数法计算的指数。例如,编制物价指数时,掌握了个体物价指数和报告期的商品销售额资料,就可用调和平均数指数形式计算。计算公式:

式中,p0为基期价格;p1为报告期价格;q1为报告期商品销售量。

随便看

 

离鸟网收录3541549条中英文词条,其功能与新华字典、现代汉语词典、牛津高阶英汉词典等各类中英文词典类似,基本涵盖了全部常用中英文字词句的读音、释义及用法,是语言学习和写作的有利工具。

 

Copyright © 2004-2024 vtrois.com All Rights Reserved
更新时间:2026/4/9 10:32:02