网站首页  词典首页


请输入您要查询的字词:

 

字词 平板盖的计算
类别 中英文字词句释义及详细解析
释义 平板盖的计算

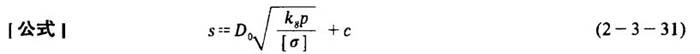
1.圆形平板盖的厚度计算

式中 k8——结构特征系数,见表2-3-8

表2-3-8 圆形及非圆形平板盖结构特征系数k8

s——平板盖厚度(m)

c——附加壁厚量(m),见式2-3-9

其它同上

2.非圆形平板盖的厚度计算

式中 Z——非圆形平板盖的形状系数

a——非圆形平盖的矩轴或短边长度(m)

b——非圆形平盖的长轴或长边长度(m)

其它同前

随便看

 

离鸟网收录3541549条中英文词条,其功能与新华字典、现代汉语词典、牛津高阶英汉词典等各类中英文词典类似,基本涵盖了全部常用中英文字词句的读音、释义及用法,是语言学习和写作的有利工具。

 

Copyright © 2004-2024 vtrois.com All Rights Reserved
更新时间:2026/4/8 13:11:25