平移公式
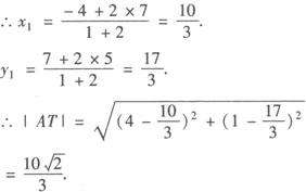
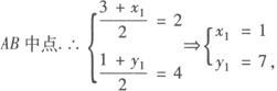
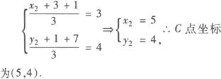
若点P(x,y)按向量a=(h,k)平移后得到P′(x′,y′),则 . 例1 △ABC中,A(4,1),B(7,5),C(—4,7),求∠A平分线的长. 解 设∠A的平分线交BC于T(x1,y1)由内角平分线定理知 ,   例2 已知平面上,四点A(1,2),B(5,8),C(—2,6),D(a,b)求当四边形ABCD为凸四边形且BD平分AC时,实数a、b应满足的充要条件. 解 设直线AC和直线BD相交于P,则点P分 所成的比为λ1=1,又设点P分 所成的比为λ.则四边形ABCD为凸四边形且BD平分AC的充要条件是λ>0. 由中点坐标公式知点P的坐标为P(—1/2,4)由点P分 所成的比为λ,知 ,  故实数a、b满足的充要条件为8a—11b+48=0且a<—1/2,b<4. 例3 在△ABC中,已知顶点A的坐标为(3,1),AB的中点为D(2,4),△ABC的重心为G(3,4),求顶点B、C的坐标. 解 设B点坐标为(x1,y1),则因为D为  ∴B点坐标为(1,7).设C(x2,y2),由题意得  |