网站首页  词典首页


请输入您要查询的字词:

 

字词 平面向量的坐标运算
类别 中英文字词句释义及详细解析
释义 平面向量的坐标运算

1.平面向量的坐标表示

在平面直角坐标系内,分别取与x轴、y轴正方向相同的两个单位向量i、j作为基底,对任一向量a,有且只有一对实数x、y,使得a=xi+yj,则实数对(x,y)叫做向量a的直角坐标,记作a=(x,y),其中x,y分别叫做a在x轴、y轴上的坐标,a=(x,y)叫做向量a的坐标表示.

相等的向量其坐标相同,坐标相同的向量是相等的向量.

2.平面向量的坐标运算

(1)若a=(x1,y1),b=(x2,y2),

则a±b=(x1±x2,y1±y2).

(2)如果A(x1,y1),B(x2,y2),

(3)若a=(x,y),则λa=(λx,λy).

(4)如果a=(x1,y1),b=(x2,y2),则a∥b充要条件是x1y2—x2y1=0.

(5)若a=(x1,y1),b=(x2,y2),

则a·b=x1x2+y1y2

(6)若a=(x,y),

则|a|2=a·a=x2+y2,|a|=

(7)若A(x1,y1),B(x2,y2),

(8)若a=(x1,y1),b=(x2,y2),

则a⊥bx1·x2+y1·y2=0.

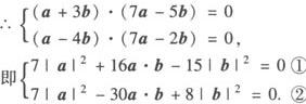
例1 已知:a、b都是非零向量且a+3b与7a—5b垂直,a—4b与7a—2b垂直,求a与b的夹角.

解 ∵(a+3b)⊥(7a—5b),

且(a—4b)⊥(7a—2b),

❶ —❷ 得2a·b=|b|2
❸ 

❸ 代入❶ 得|a|2=|b|2,即|a|=|b|.

∴θ=60°.

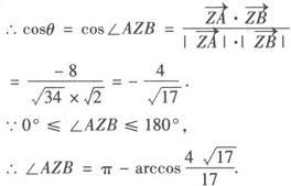
例2 如图,已知=(1,7),=(5,1),设Z是直线OP上的一动点.

(1)求使取最小值的

(2)对(1)中求出的Z,求∠AZB.

解 (1)由题意,Z是直线OP上的一点

设实数t,使,∴(2t,t),

=(1—2t,7—t).

t)(1—t)

=5t2—20t+12=5(t—2)2—8.

当t=2时,有最小值—8此时=(4,2).

(2)当t=2时,=(—3,5),=(1,—1).

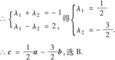
例3 若向量a=(1,1),b=(1,—1)c=(—1,2),则c=( ).

分析 本题考查了平面向量的基本定理及向量的坐标运算.

解 设c=λ1a+λ2b,则(—1,2)=λ1(1,1)+λ2(1,—1)=(λ12,λ1—λ2).

例4 已知平面上三点的坐标分别为A(—2,1),B(—1,3),C(3,4),求点D的坐标,使这四个点构成平行四边形的四个顶点.

分析 注意到没有指明顶点的顺序,故应分类讨论,平行四边形的对边平行且相等,从而两个向量相等,故可求出D点坐标.

解 (1)以AC为一条对角线时得,设D(x,y),则由得(—1+2,3—1)=(3—x,4—y).

∴3—x=1,4—y=2.

∴x=2,y=2,即D(2,2).

(2)以BC为一条对角线时得设D(x,y),则由

得(—1+2,3—1)=(x—3,y—4).

∴x—3=1,y—4=2.

∴x=4,y=6,即D(4,6).

(3)AB为一条对角线时得,则由同样求得D(—6,0).

综上所述,当D的坐标为(2,2)或(4,6)或(—6,0)时,都能用这四个点构成平行四边形的四个顶点.

例5 设a、b、c是任意的非零平面向量,且它们相互不共线,下列命题

❶ (a·b)·c—(c·a)·b=0;

❷ |a|—|b|<|a—b|;

❸ (b·c)·a—(c·a)·b不与c垂直;

❹ (3a+2b)·(3a—2b)=9|a|2—4|b|2

其中正确的是( ).

A.❶ ❷  B.❷ ❸ 

C.❸ ❹  D.❷ ❹ 

解 选D.❷ 正确,因a、b不共线,在|a|—|b|≤|a—b|中不能取等号;
❹ 正确是明显的;
❶ 错误,因向量的数量积不满足结合律;
❸ 错误,因[(b·c)·a—(c·a)·b]·c=(b·c)·(a·c)—(c·a)·(b·c)=0,则(b·c)·a—(c·a)·b与c垂直.

随便看

 

离鸟网收录3541549条中英文词条,其功能与新华字典、现代汉语词典、牛津高阶英汉词典等各类中英文词典类似,基本涵盖了全部常用中英文字词句的读音、释义及用法,是语言学习和写作的有利工具。

 

Copyright © 2004-2024 vtrois.com All Rights Reserved
更新时间:2026/4/8 5:13:09