年费用法
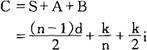
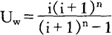
把投资总额折算到投资使用期的每一年中,计算出年均费用来对投资方案进行评价的决策方法。 年费用的计算方法随方案性质的不同而略有差异,设年费用为C,年运营费用为S,则C的计算方法有两种: 第一种以年运营费S,年折旧A,年投资利息B构成年费用C,则:  式中:n——使用年限;d——运营费用年均递增额;k——总投资额;i——年利率。 为使C最小,则将上式对n求导得:  根据这个公式可以计算出各个方案年费用的最小值,据此就可以选择最优方案。 第二种以年运营费S和年均偿还费用D构成年费用C。则:  式中:Uw——年均偿还费用系数。  年均偿还费用指的是将总投资额折算到每年应承担的金额。 例:现有投资方案A、B、C数据如表11-10。 表11-10 单位:万元  试选择最优方案(已知i=8%)。解:  对于A方案:C=6+25×0.1168=8.92(万元) 对于B方案:C=5+33×0.1168=8.85(万元) 对于C方案:C=4+43×0.1168=9.02(万元) 可以看出B方案的年费用最小,因此是最优方案。 |