网站首页  词典首页


请输入您要查询的字词:

 

字词 年金
类别 中英文字词句释义及详细解析
释义 年金

在一定时期内,按相等的间隔期(每间隔1年、半年、3个月或1个月等)支付或收取的相同金额。

年金的支付(收取)发生在每期期末的,称为“普通年金”或“后付年金”;年金的支付(收取)发生在每期期初的年金,称为“即付年金”或“预付年金”;支付(收取)出现在第一期末以后某一期间的年金,称为“递延年金”;无限期继续支付(收取)的年金,称为“永续年金”。普通年金是年金的基本形式,其他各种形式的年金,都是普通年金的转化形式。

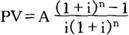
年金现值 按复利法计算的在一定期间内每期支付(或收取)的等额货币的现值。计算公式为:

式中:PV——年金现值;A——各期的年金值;i——利率;n——期数。式中称年金现值因子,通常以(PV/A,i,n)表示。

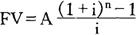
年金终值 按复利法计算的在一定期间内每期支付(或收取)的等额货币的终值。

计算公式为:

式中:FV——年金终值;A——各期的年金值;i——利率;n——期数。式中称年金终值因子,通常以(FV/A,i,n)表示。

随便看

 

离鸟网收录3541549条中英文词条,其功能与新华字典、现代汉语词典、牛津高阶英汉词典等各类中英文词典类似,基本涵盖了全部常用中英文字词句的读音、释义及用法,是语言学习和写作的有利工具。

 

Copyright © 2004-2024 vtrois.com All Rights Reserved
更新时间:2026/4/9 20:45:34