网站首页  词典首页


请输入您要查询的字词:

 

字词 年金
类别 中英文字词句释义及详细解析
释义 年金

指每隔一定时期(如年月)连续收入或付出相等金额的款项。

如经济生活中常见的零存整取或整存零取储蓄存款以及人寿保险,退休金等。年金有多种类型:(1)普通年金。

指在每期期末收入或付出相等金额的年金;(2)即付年金。指在每期期初收入或付出相等金额的年金;(3)递延年金。

指收款或付款在第一期末以后某个时间的年金;(4)永续年金。指无限期收入或付出相等金额的年金。

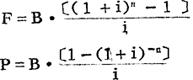
无论哪一种年金均有现值和终值之分,通常以复利为基础进行计算。每种年金都有计算公式。应用这些计算公式进行年金的一次收款额、一次付款额或每期收款、付款的计算方法,称为“年金计算法”。尽管年金的种类很多,但均以普通年金为基础。普通年金的终值和现值计算公式如下:

上述公式中:F为年金终值,P为年金现值,B为年金,i为利率,n为期数(年限),为年金终值系数,为年金现值系数。

随便看

 

离鸟网收录3541549条中英文词条,其功能与新华字典、现代汉语词典、牛津高阶英汉词典等各类中英文词典类似,基本涵盖了全部常用中英文字词句的读音、释义及用法,是语言学习和写作的有利工具。

 

Copyright © 2004-2024 vtrois.com All Rights Reserved
更新时间:2026/4/9 10:15:10