网站首页  词典首页


请输入您要查询的字词:

 

字词 年金法
类别 中英文字词句释义及详细解析
释义 年金法

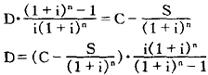
一种考虑了固定资产投资贷款利息的固定资产年度折旧额计算方法。这种方法要求把固定资产投资的资金成本同固定资产的资产损耗综合在一起,计算出每年应提取的折旧额。年折旧额按投资时的现值计算。以等额折旧为例,其计算公式表达如下:

式中,D表示每年应提取的折旧额;n表示折旧年限;i表示利率;C表示固定资产原值;S表示残值。

随便看

 

离鸟网收录3541549条中英文词条,其功能与新华字典、现代汉语词典、牛津高阶英汉词典等各类中英文词典类似,基本涵盖了全部常用中英文字词句的读音、释义及用法,是语言学习和写作的有利工具。

 

Copyright © 2004-2024 vtrois.com All Rights Reserved
更新时间:2026/4/9 1:13:00