序时平均数分析
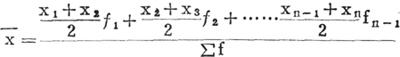
利用序时平均数在各段时期之间进行比较,反映某种社会现象在一段时期内发展所达到的一般水平及其发展趋势,则称序时平均数分析。 利用序时平均数可以解决动态数列中某些可比性的问题。序时平均数就是将动态数列中各项指标数值加以平均而得出来的平均数。 序时平均数有时期数列的序时平均数和时点数列的序时平均数。时期数列的序时平均数是时期数列各项指标之和除以项数所得的平均数,如某季各月产量之和除以3所得的月平均产量。 将各季度的平均月产量按照时间先后顺序排列起来,就形成由序时平均数排列起来的平均动态数列。时点数列的序时平均数,如果在时点间隔相等的情况下须按下列公式计算:  式中: 为序时平均数,x1、X2……xn为时点数列各项指标,n为项数。 如果只有间隔不相等的每期期末的资料,可视具体情况用各间隔长度作为权数进行相加来计算序时平均数。其计算公式是:  式中:f1、f2……fn-1是作为权数的间隔时间长度,Σf为间隔长度之和。 |