网站首页  词典首页


请输入您要查询的字词:

 

字词 序贯统计推断方法
类别 中英文字词句释义及详细解析
释义 序贯统计推断方法

简称序贯方法,是瓦尔德等人在第二次世界大战期间发展起来的一种统计方法。

序贯方法与经典统计方法的相异之处在于,经典统计方法在抽样前就已确定了样本的容量,而序贯方法则不然,它需要根据一定的法则来确定连续的抽样何时停止,这法则称为停止法则,而由这个法则定义的停止抽样的时间称为停时。

序贯方法实际上是经典统计方法在随机变量序列上的连续运用,内容主要包括序贯点估计,序贯检验和序贯区间估计。下面以瓦尔德在1943年提出的序贯概率比检验为例,来说明序贯方法的一般程序。

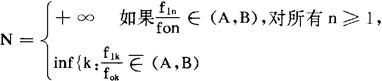
设(x1,x2,…,xn)~fn,n≥1,

Ho∶fn=fon,H1∶fn=f1n

首先定义停时No设有A,B,O

这样就可以进行抽样进行序贯概率比检验了。

相应的两类错误概率分别为:,可以根据α,β的定义得到α,β与A,B之间的近似关系。

这样,只要α,β(或A,B)给定,则整个检验(包括抽样过程)就完全确定。

序贯方法与经典方法相比有许多显著的优点。

(1)序贯方法比经典方法节省试验次数,瓦尔德曾证明,序贯概率比检验可以比经典的似然比检验节省50%的样本而达到同样的水平。

(2)可以使统计判决达到预定的精度,而样本容量固定的经典方法则很难做到这点。

总之,序贯方法可以在一定最优准则下,达到经典方法难以达到的最优化。

随便看

 

离鸟网收录3541549条中英文词条,其功能与新华字典、现代汉语词典、牛津高阶英汉词典等各类中英文词典类似,基本涵盖了全部常用中英文字词句的读音、释义及用法,是语言学习和写作的有利工具。

 

Copyright © 2004-2024 vtrois.com All Rights Reserved
更新时间:2026/4/9 15:09:51