网站首页  词典首页


请输入您要查询的字词:

 

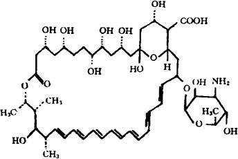
字词 庐山霉素[中]
类别 中英文字词句释义及详细解析
释义 庐山霉素[中]

C47H73NO17=924.09

CAS-1397-89-3

33-[(3-氨基-3,6-二去氧-β-D-吡喃甘露糖基)氧]-1,3,5,6,9,11,17,37-八羟-15,16,18-三甲基-13-氧代-14,39-二氧二环-[33,3,1]-三十九碳-19,21,23,25,27,29,31-庚烯-36-羧酸。

33-[(Amino-3,6-dideoxy-β-D-mannlopyranosyl)oxy]-1,3,5,6,9,11,17,37-octahydroxy-15,16,18-trimethyl-13-oxo-14,39-dioxabicyclo[33.3.1]-nona-triaconta-19,21,23,25,27,29,31-heptaene-36-carboxylic acid.

抗生素类药。用于抗真菌感染,霉菌性阴道炎。

临床使用为庐山霉素去氧胆酸钠的复盐。

Amphotericin B,Amphotericin.

INN,BAN,BP,DCF,DCIT,IP,JP,NFN,US.AN,USP,MI.

随便看

 

离鸟网收录3541549条中英文词条,其功能与新华字典、现代汉语词典、牛津高阶英汉词典等各类中英文词典类似,基本涵盖了全部常用中英文字词句的读音、释义及用法,是语言学习和写作的有利工具。

 

Copyright © 2004-2024 vtrois.com All Rights Reserved
更新时间:2026/4/6 15:51:29