网站首页  词典首页


请输入您要查询的字词:

 

字词 库马唑啉
类别 中英文字词句释义及详细解析
释义 库马唑啉

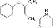
C14H16N2O=228.29

CAS-37681-00-8

2-[(2-乙基苯并呋喃-3-基)甲基]-2-咪唑啉。

2-[(2-Ethylbenzofuran-3-yl)methyl]-2-imidazoline.

血管收缩药。用于鼻粘膜血管充血。

氧茚乙咪唑,香豆唑啉。

Coumazoline,L 5818(as HCl),Gaienyl,Gayenyl.

INN,USAN.

随便看

 

离鸟网收录3541549条中英文词条,其功能与新华字典、现代汉语词典、牛津高阶英汉词典等各类中英文词典类似,基本涵盖了全部常用中英文字词句的读音、释义及用法,是语言学习和写作的有利工具。

 

Copyright © 2004-2024 vtrois.com All Rights Reserved
更新时间:2026/5/25 12:13:49