库马霉素
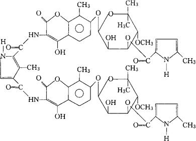
C55H59N5O20=1110.09 CAS-4434-05-3 (5-甲基吡咯-2-羧酸)二酯与3,3′-[(3-甲基吡咯-2,4-二基)双(羰基亚胺基)]双[4-羟基-8-甲基-7-[(四氢-3,4-二羟基-5-甲氧基-6,6-二甲基吡喃-2-基)氧]香豆素]。 5-Methylpyrrole-2-carboxylic acid,diester with 3,3′-[(3-methylpyrrole-2,4-diyl)bis(carbonylimino)]bis-[4-hydlroxy-8-methyl-7-[(tetrahydro-3,4-dihydroxy-5-methoxy-6,6-dimethyrpylan-2-yl)oxy]coumarin]. 抗生素类药。 香豆霉素。 Coumermycin,Coumamycin. INN(Coumamycin),NFN,USAN. 
|