应用牛顿运动定律解题的步骤
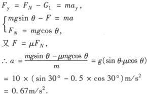
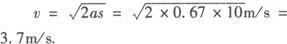
1.选取研究对象 2.受力分析,画出了力的示意;运动分析,画出过程示意图 3.建立正交坐标系 4.由牛顿第二定律的表达式列方程求出结果 例 一斜面AB长为10m,倾角为30°,一质量为2kg的小物体(大小不计)从斜面顶端A点由静止开始下滑,如图所示(g取10m/s2). (1)若斜面与小物体间的动摩擦因数为0.5,求小物体下滑到斜面底端B点时的速度是多大及所用时间? (2)若给小物体一个沿斜面向下的初速度,恰能沿斜面匀速下滑,小物体与斜面间的动摩擦因数μ是多少? 解 (1)这是第一类的问题,即知道物体的受力而求物体的运动情况,以小物体为研究对象,其受力情况如下图右所示,建立直角坐标系,把重力G沿x和y方向分解:G1=mgcosθ,G2=mgsinθ,小物体沿斜面即x轴方向加速运动,设加速度为a,则ax=a,物体在y轴方向没有发生位移,没有加速度则ay=0,由牛顿第二定律,得Fx=G2—F=max.    设小物体下滑到斜面底端时的速度为v,所用时间为t,小物体由静止开始匀加速下滑,由 ,得  由vt=v0+at得 t=v/a=3.7/0.67=5.5s. (2)这是属于第二类的问题,即知道物体的运动情况而求力,小物体沿斜面匀速下滑时,处于平衡状态,其加速度a=0,则在上图的直角坐标中ax=0,ay=0.由牛顿第二定律,得 . ∵ . 又F=μFN, ∴小物体与斜面间的动摩擦因数 . |