网站首页  词典首页


请输入您要查询的字词:

 

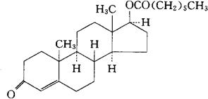
字词 庚酸睾酮
类别 中英文字词句释义及详细解析
释义 庚酸睾酮

C26H40O3=400.60

CAS-315-37-7

(17β)-17-[(1-氧代庚基)氧]雄甾-4-烯-3-酮。

(17β)-17-[(1-Oxoheptyl)oxy]-androst-4-en-3-one.

睾酮庚酸酯。

Testosterone heptanoate.

雄激素类药。

睾酮庚酸酯。

Trstosterone Enanthate,Delatestryl,NSC-17591.

JP,USAN,USP.

随便看

 

离鸟网收录3541549条中英文词条,其功能与新华字典、现代汉语词典、牛津高阶英汉词典等各类中英文词典类似,基本涵盖了全部常用中英文字词句的读音、释义及用法,是语言学习和写作的有利工具。

 

Copyright © 2004-2024 vtrois.com All Rights Reserved
更新时间:2026/4/6 12:55:46